Here is another article which explains the topic of characteristic current, voltage ellipses and field weakening and also presents some formulas:
https://ieeexplore.ieee.org/document/6457462
Especially figure 8 and the related text are great for understanding what’s going on. They also come up with formulas and step by step explanations on how to calculate id and iq. The main difference being, that they are interested in constant torque and thus, have a torque as input which makes for some quite lengthy calculations. In our case, we command a current and thus, can save on a lot of the math.
So, in a perfect world, an id-iq diagram would look like that:
The current limit is given by our throttle input Is:

- 2.PNG (4.12 KiB) Viewed 8566 times
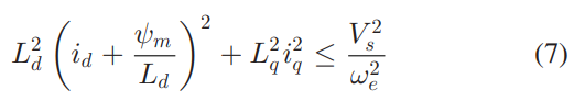
We can freely choose id and iq within this circle and in the best case, we would choose the intersection of the MTPA curve and current limit. However, there is also a voltage limit. Id and iq have to fulfill the following equation:

- 3.PNG (10.26 KiB) Viewed 8566 times
As the name suggests, it depends on the voltage Vs that is the peak value of the maximum phase voltage.
In the idiq diagram, this voltage limit is an ellipse with its center at the characteristic current:

- 4.PNG (1.99 KiB) Viewed 8566 times
Thus, the diagram would look like that:
Now id and iq have to lay within the current limit circle and the voltage limit ellipse (the red region). If one would hit the voltage limit and still keep requesting more and more current outside the allowed area, the resulting currents will not reach the requested values (ud maxes out..). One could just take back the throttle and reach the intersection between the MTPA curve, current circle and voltage ellipse (position A in the image below):
This probably explains celerons experience with lowering throtcur yielding more acceleration. However, this also decreases overall power. Instead, one could move along the voltage ellipse till one reaches the intersection between ellipse and current limit (position B). Not on the MTPA curve anymore and thus not as efficient, but more power and torque.
How could this be implemented in the software? One would need to check if the voltage limit condition is fulfilled and if not, increase id till the condition is fullfilled (while at the same time fulfilling the current limit). For that one needs the flux linkage as well as q and d inductance. At least for the prius gen 3 motor I could find these values rather easily. Sadly, both inductances depend on id and iq and thus, a lookup table would be required. In the article they also write about how they have got theirs, but at least for a start one could use some rather conservative numbers and just test if it does any difference at all (i.e., ud doesn’t maxes out).