Tomorrow, on Sunday I have a test and trace day. I really need this to get back on road as there's an driving event next weekend I want to attend to
I'll try the toggle, but then again I have this gut feel that there is a discrete command message for DCDC ON/OFF
tom91 wrote: ↑Thu Jul 31, 2025 9:54 pm
Do you know where the DCDC is turned on via CAN?
Possibly the main HV system relay bit should toggle. in 0x1D4
I've been struggling to find a right CAN log from a leaf with startup sequence logged. Then I had troubles to read an EV CAN Log from a 2016 Leaf to check what the VCU sends and how the PDM/OBC responds.
I'm not sure where I found these two PCAP format logs, but they have the clues needed. Savvycan doesn't open this and Wireshark doesn't interpret the messages with CAN DBC, so this was a bit of manual work. I've been looking at this with goggles that something yet unidentified, but documented MUST contain the control command...
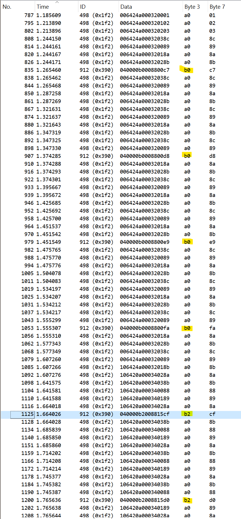
Here we go:
In x1F2 there is this unknown bit in byte 7

- image.png (5.98 KiB) Viewed 3924 times
I stared the hex values in Wireshark and saw that x390 byte 3 has values B2, B3 or 13 when DCDC is on

- image.png (5.84 KiB) Viewed 3924 times
This information was also "told" in this google sheets Dala has linked in his
LeafLogs
So if x1F2 byte 7 starts with 8, unknown bit 7 is 1. If it starts with 0, bit 7 is 0. -->
Cue filtered log after learning how to use Wireshark field modifiers
Looks like there is approx 400ms delay/buffer before DCDC turns on after the start of byte 7 in x1F2 changes from 0 to 8
So this is also what I want to test out tomorrow
